
Основы геоинформатики: лекция 11
11 апреля 2025 г.
Размещение объектов в пространстве может как быть случайным, так и подчиняться определенным закономерностям.
Модели размещения позволяют описать характер размещения в виде количественных статистических параметров.
Как это работает?
Например, плотность размещения деревьев можно связать с крутизной и экспозицией склона.
Точечный процесс — случайный процесс \(\mathbf P\) , реализациями которого являются точечные паттерны.
Точечный паттерн — неупоря-доченное множество точек:
\[\mathbf{p} = \{p_1, p_2,...p_n\}\]
Количество точек \(n = n(\mathbf p)\) может быть любым неотрицательным числом.

Характер пространственного распределения устанавливается путем сравнения с эталонными моделями распределений.
Распространены следующие эталонные распределения:
однородное
неоднородное
Экспериментальный подход
Координаты \(X\) и \(Y\) имеют равномерное распределение в заданной области \(B\).
Ожидаемое количество точек, попадающих в регион \(B\) пропорционально его площади:
\[ \mu = \mathbb E\big[n(\mathbf{P} \cap B)\big] = \lambda |B|, \]
где \(\lambda\) — интенсивность.

Интенсивность
Интенсивность точечного процесса — ожидаемое количество точек на единицу площади.
Вероятность того, что в области \(B\) окажется ровно \(k\) точек имеет распределение Пуассона \(\Pi(\mu)\):
\[ \mathbb{P}\{N = k\} = e^{-\mu} \frac{\mu^k}{k!} \]
Пуассоновский процесс
Абсолютно случайный точечный процесс также называют пуассоновским.

Однородный пуассоновский процесс
Пуассоновский процесс называется однородным, если его интенсивность не зависит от местоположения. То есть, \(\lambda\) — константа.
Распределение населенных пунктов в Турции
Пусть дана область \(B = [x_{min}, x_{max}] \times [y_{min}, y_{max}]\) и интенсивность точечного процесса \(\lambda\).
Необходимо сгенерировать:
Случайное число \(N\), имеющее распределение Пуассона с параметром \(\mu = \lambda |B|\).
\(N\) координат \(x_i = x_1, x_2, ..., x_N\), имеющих равномерное распределение на промежутке \([x_{min}, x_{max}]\).
\(N\) координат \(y_i = y_1, y_2, ..., y_N\), имеющих равномерное распределение на промежутке \([y_{min}, y_{max}]\).
Точечный паттерн \(p_i = (x_i, y_i)\) собирается из полученных координат.
\[ \mu = \mathbb E\big[n(\mathbf{P} \cap B)\big] = \int_B \lambda(x,y) dx dy \]
Процесс Кокса
Процесс Кокса — неоднородный Пуассоновский процесс, в котором \(\lambda\) — случайная величина.

\[ \lambda(x,y) = x + y^2 \]
Распределение населенных пунктов в Китае
Метод Льюиса-Шедлера (Lewis-Shedler thinning):
Генерируется однородный Пуассоновской процесс с интенсивностью \(\lambda_{max} = \max\big[\lambda(x, y)\big]\).
Осуществляется случайное прореживание (исключение) точек с вероятностью сохранения точки \(\mathbb P(x,y) = \lambda(x,y) / \lambda_{max}\), пропорциональной функции интенсивности.
Чтобы понять, будет ли точка исключена, генерируется случайное число 0 или 1, имеющее распределение Бернулли с вероятностью положительного исхода \(\mathbb P = \mathbb P(x,y)\).
Центробежная конфигурация (тяготеет к границе) может свидетельствовать о:
влиянии объектов (границы) на конфигурацию точек
наличии определенного ресурса у границы

Распределение населенных пунктов в Австралии
Центростремительная конфигурация (отталкивается от границы) может свидетельствовать о:
неблагоприятности приграничных территорий для данного типа точек
сосредоточении ресурсов в центральной части региона

Распределение населенных пунктов в Намибии
Кластерным называется распределение, в котором точки имеют тенденцию образовывать скопления — кластеры.
Точки из одного кластера в среднем значительно ближе, чем точки из разных кластеров.
Кластер
Объединение нескольких однородных элементов, которое может рассматриваться как самостоятельная единица, обладающая определёнными свойствами.

Распределение населенных пунктов в Египте
Модели кластерных процессов работают в три этапа.
I. Генерируется “родительский” точечный процесс:
Модели кластерных процессов работают в три этапа.
II. Относительно родителей генерируются потомки:
Модели кластерных процессов работают в три этапа.
III. Родительские точки исключаются:
Самая известная кластерная модель — Неймана-Скотта:
Модель Неймана-Скотта
Модель Неймана-Скотта была разработана для описания звёздных скоплений, но нашла широкое применение за пределами астрономии, в том числе в географическом анализе.
Процесс Матерна \((\kappa, \mu, r)\)

\(\Pi(\mu)\) случайных точек, равномерно распределенных в радиусе \(r\) относительно \(\Pi(\kappa)\) родительских точек
Потомки образуют однородные Пуассоновские процессы в окрестностях родителей.
У полученных кластеров четкие края — за пределами радиуса \(r\) потомков не бывает. По этой причине процесс также называется hardcore.
Процесс Томаса \((\kappa, \mu, \sigma)\)

\(\Pi(\mu)\) случайных точек, расстояния которых относительно \(\Pi(\kappa)\) родительских точек распределены по нормальному закону \(N(0, \sigma^2)\)
Потомки образуют неоднородные Пуассоновские процессы — их плотность выше вблизи родителей
У полученных кластеров мягкие края — параметр \(\sigma\) определяет лишь среднеквадратическое отклонение расстояний
Регулярным называется случайное распределение, при котором точки не могут располагаться ближе чем \(r\) — расстояние ингибиции.
Регулярное ≠ равномерное
Не следует путать регулярное распределение с равномерным. Равномерность означает постоянную плотность распределения.

Причины
Регулярность распределения обычно свидетельствует о конкуренции за пространство и часто встречается в животном мире.
Последовательная модель:
генерировать абсолютно случайные (пуассоновские) точки по одной;
каждую последующую сохранять, если она находится на расстоянии не ближе \(r\) от сохраненных ранее.

Внимание
Процесс может не завершиться, если при высокой интенсивности задано также слишком большое расстояние ингибиции. В этом случае будет недостаточно места для размещения ожидаемого числа точек.
Выявление типа распределения осуществляется на основе статистических тестов применительно к свойствам двух типов
Оценивается интенсивность точечного процесса \(\lambda\) , ее статистическое распределение
плотность пространственного распределения;
количество точек по ячейкам регулярной сетки.
Оцениваются расстояния между точками, их статистическое распределение
расстояние до ближайшего соседа;
расстояние до \(K\) ближайших соседей (функция Рипли).
Оценка плотности пространственного распределения делается методом ядерного сглаживания.
Над каждой точкой позиционируется ядро — мини-поверхность:
Оценка плотности пространственного распределения делается методом ядерного сглаживания.
Сумма поверхностей дает оценку плотности в точке:
Однородный пуассоновский

Неоднородный пуассоновский

Кластерный Матерна

Кластерный Томаса

Диагностика плотности
Регулярный

\(G\)-функция — эмпирическая функция распределения расстояний до ближайшего соседа:
\[ G(r) = \frac{1}{n}\sum_{i=1}^n \big[r_{min}(p_i) < r \big], \]
\(r_{min}\) — расстояние от \(p_i\) до ближайшей к ней точки.
\([~\circ~]\) — индикаторная функция, принимающая значения:
\(1\), если \(\circ = ИСТИНА\),
\(0\), если \(\circ = ЛОЖЬ\).
Чтобы понять тип распределения, необходимо сравнить \(G\)-функцию для фактического распределения с \(G\)-функцией, которую имел бы абсолютно случайный паттерн на той же территории при том же количестве точек
Абсолютно случайное распределение
График фактического распределения \(\widehat G_{obs} (r)\) находится в пределах доверительного интервала относительно теоретического распределения \(G_{theo}(r)\).
Достоверных отличий нет.

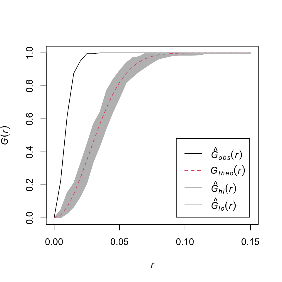
Кластерное распределение
График фактического распределения \(\widehat G_{obs} (r)\) находится над графиком теоретического распределения \(G_{theo}(r)\).
Малые расстояния встречаются чаще, чем в пуассоновском процессе.

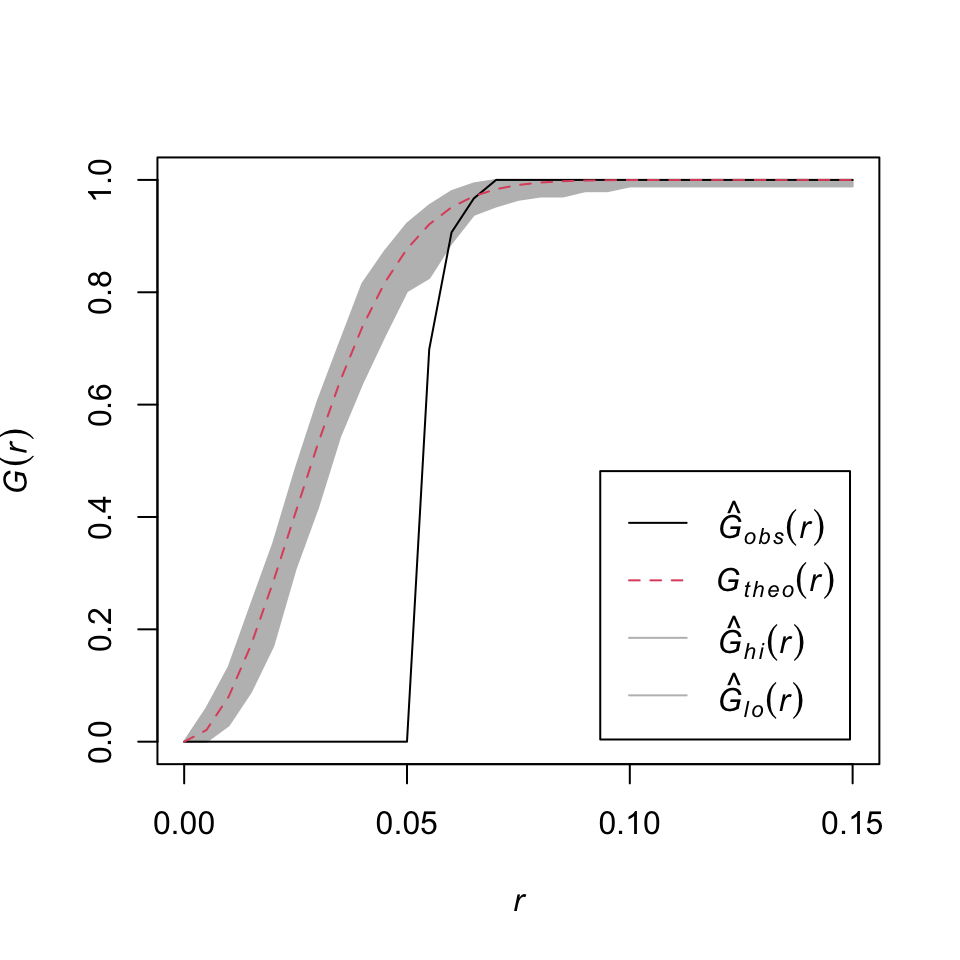
Регулярное распределение
График фактического распределения \(\widehat G_{obs} (r)\) находится под графиком теоретического распределения \(G_{theo}(r)\).
Малые расстояния встречаются реже, чем в пуассоновском процессе.

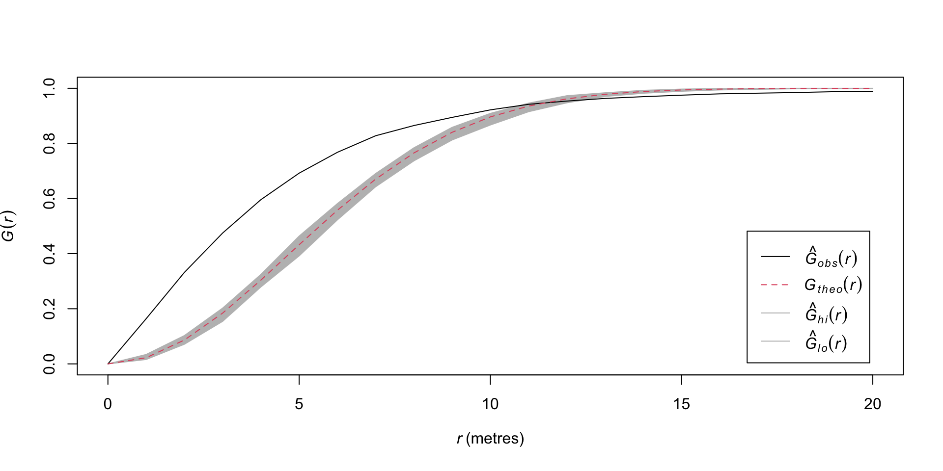
Рассмотрим данные по расположению деревьев во влажном тропическом лесу:
Характер плотности пространственного распределения говорит о неоднородном Пуассоновском процессе
Характер G-функции говорит о неоднородном Пуассоновском либо кластерном процессе
Можно связать функцию интенсивности с ковариатами — внешними факторами, такими как высота и уклон рельефа.
Можно связать функцию интенсивности с ковариатами — внешними факторами, такими как высота и уклон рельефа.
Интенсивность процесса как функция от уклона
Методом Льюиса-Шедлера можно смоделировать альтернативные конфигурации неоднородного процесса:
Методом Льюиса-Шедлера можно смоделировать альтернативные конфигурации неоднородного процесса:
Методом Льюиса-Шедлера можно смоделировать альтернативные конфигурации неоднородного процесса:
Методом Льюиса-Шедлера можно смоделировать альтернативные конфигурации неоднородного процесса:
Методом Льюиса-Шедлера можно смоделировать альтернативные конфигурации неоднородного процесса:
Некоторые примеры географических явлений и систем, для анализа которых будет полезен инструментарий точечных процессов:
Случайный процесс
Точечный процесс
Точечный паттерн
Пуассоновский процесс
Неоднородный процесс
Кластерный процесс
Регулярный процесс
Плотность простр. распред.
Ядерное сглаживание
Эмпирическая функция распределения
Random process
Point process
Point pattern
Poisson process
Inhomogeneous process
Cluster process
Regular process
Spatial density
Kernel smoothing
Cumulative distribution function
Самсонов Т. Е. Основы геоинформатики: курс лекций